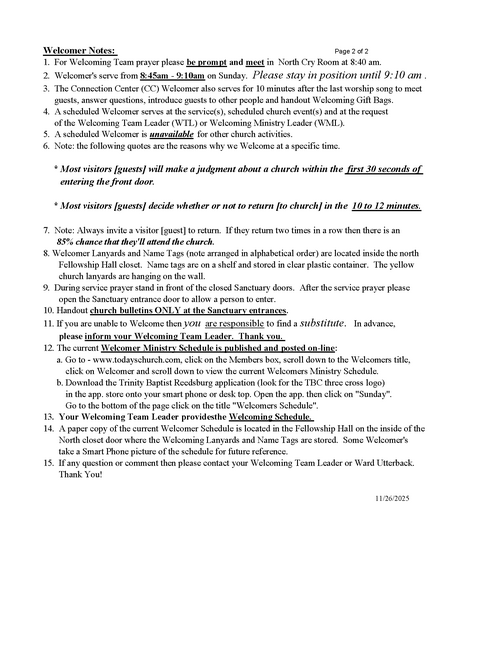
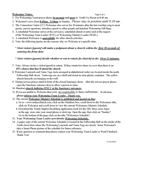
Home
About
What We Believe
Our Staff
What to Expect
Pastor Transition
Contact
Connect
Children
Students
Adult Groups
Trinity Women
Missions
Volunteer
Events
Sermons
Give
Español
Members
WELCOMER MINISTRY
Interested in Joining Our Team?
If you are interested in the Welcomer Ministry please complete the Volunteer Form and we'll be in touch with you.
Volunteer Now
Contact Us
We'd love to hear from you. Fill out the form below to get started.
First Name
Last Name
Email
Message
Contact Us